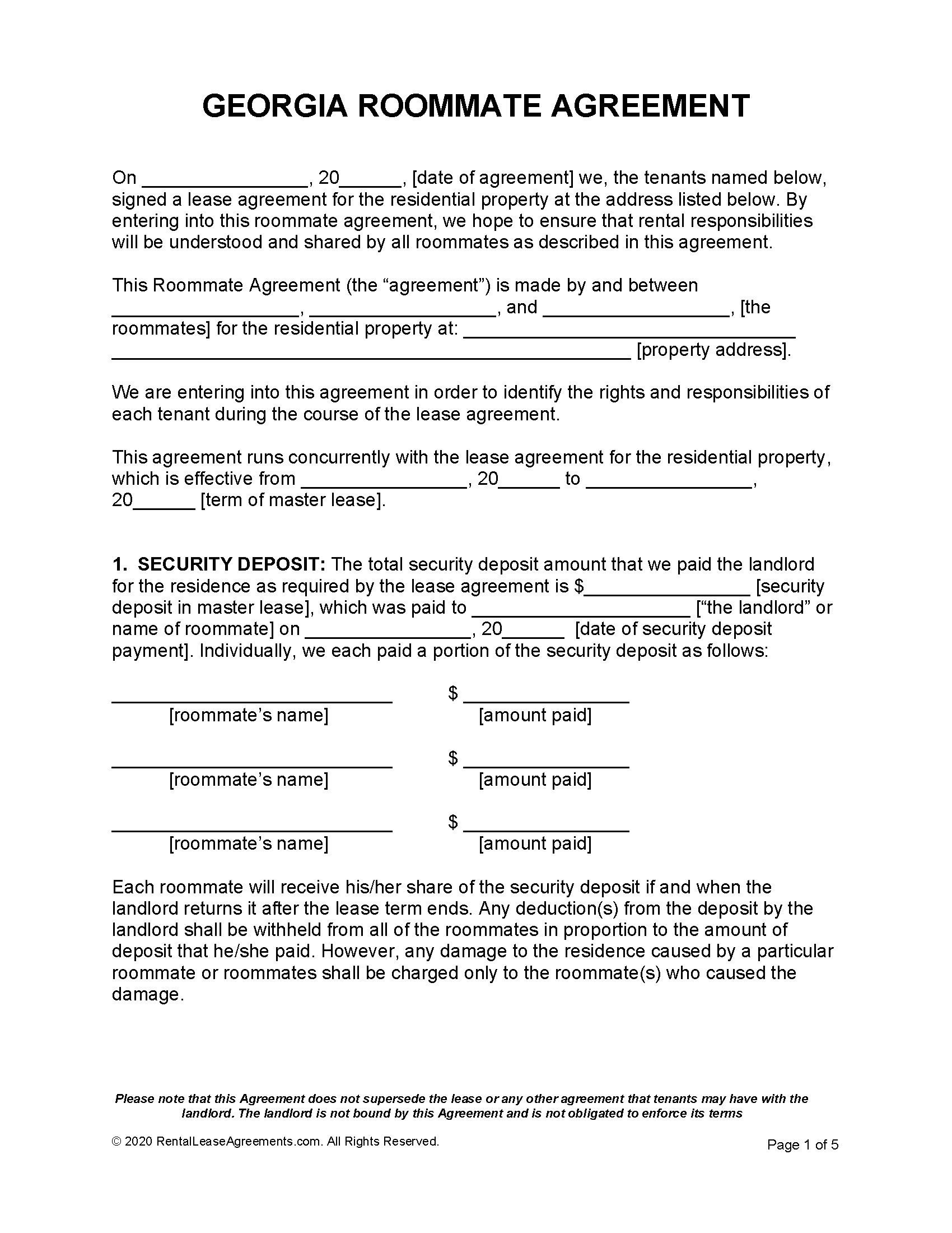
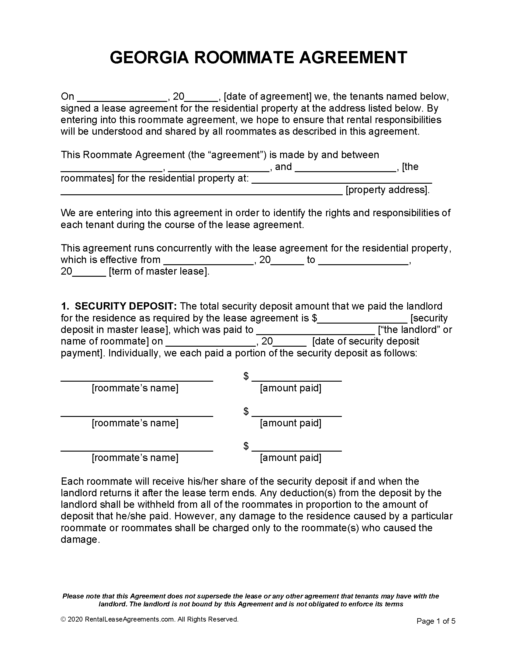
Free Printable Georgia Lease Agreement Pdf
Free Georgia Rental Lease Agreement PDF U0026 Word Template
Free Georgia Rental Lease Agreement Templates PDF Word
Free Georgia Rental Lease Agreement Templates 6 PDF
Free Georgia Lease Agreement Templates 7 PDF Word EForms
Free Georgia Rental Lease Agreement Templates PDF Word





