If you’re looking to give the gift of property or assets, using a gift deed is a great way to transfer ownership. However, creating a gift deed can be a complex and daunting task.
But fear not! We’ve got you covered with a Free Printable Gift Deed Form that makes the process quick and easy. Simply download, fill in the details, and you’re good to go!
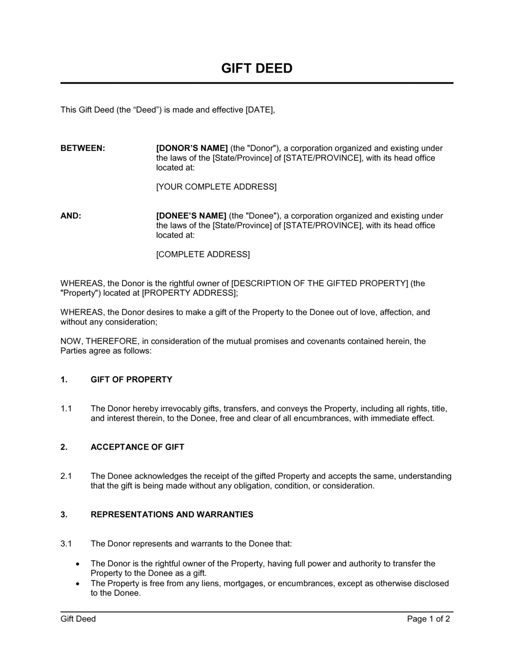
Free Printable Gift Deed Form
Free Printable Gift Deed Form
Our Free Printable Gift Deed Form is designed to simplify the process of transferring ownership of property or assets. Whether you’re gifting a house, car, or other valuable items, this form ensures that all necessary details are included.
With our easy-to-use template, you can customize the gift deed to suit your specific needs and requirements. Just fill in the blanks with the relevant information, sign the document, and you’re all set!
By using our Free Printable Gift Deed Form, you can save time and money on legal fees, while ensuring that the transfer of ownership is done correctly and legally. Don’t let the complexities of gift deeds overwhelm you – download our form today and simplify the process!
In conclusion, our Free Printable Gift Deed Form is a valuable tool for anyone looking to transfer ownership of property or assets. With just a few simple steps, you can create a legally binding document that protects both parties involved. Download our form now and make gifting a breeze!
Free Quit Claim Deed Forms PDF WORD RTF
Free Deed Templates Editable And Printable
Free Simple Gift Deed Template To Edit Online
Tennessee Gift Deed Form Fill Out Sign Online And Download PDF
Gift Deed Template





