Are you looking for Printable Aarp Free Will Forms online? Look no further! With the convenience of the internet, you can easily access and download these forms to help you plan for the future.
Creating a will is an important step in ensuring that your assets are distributed according to your wishes. AARP offers free will forms that are simple to use and understand, making it easier for you to document your final wishes.
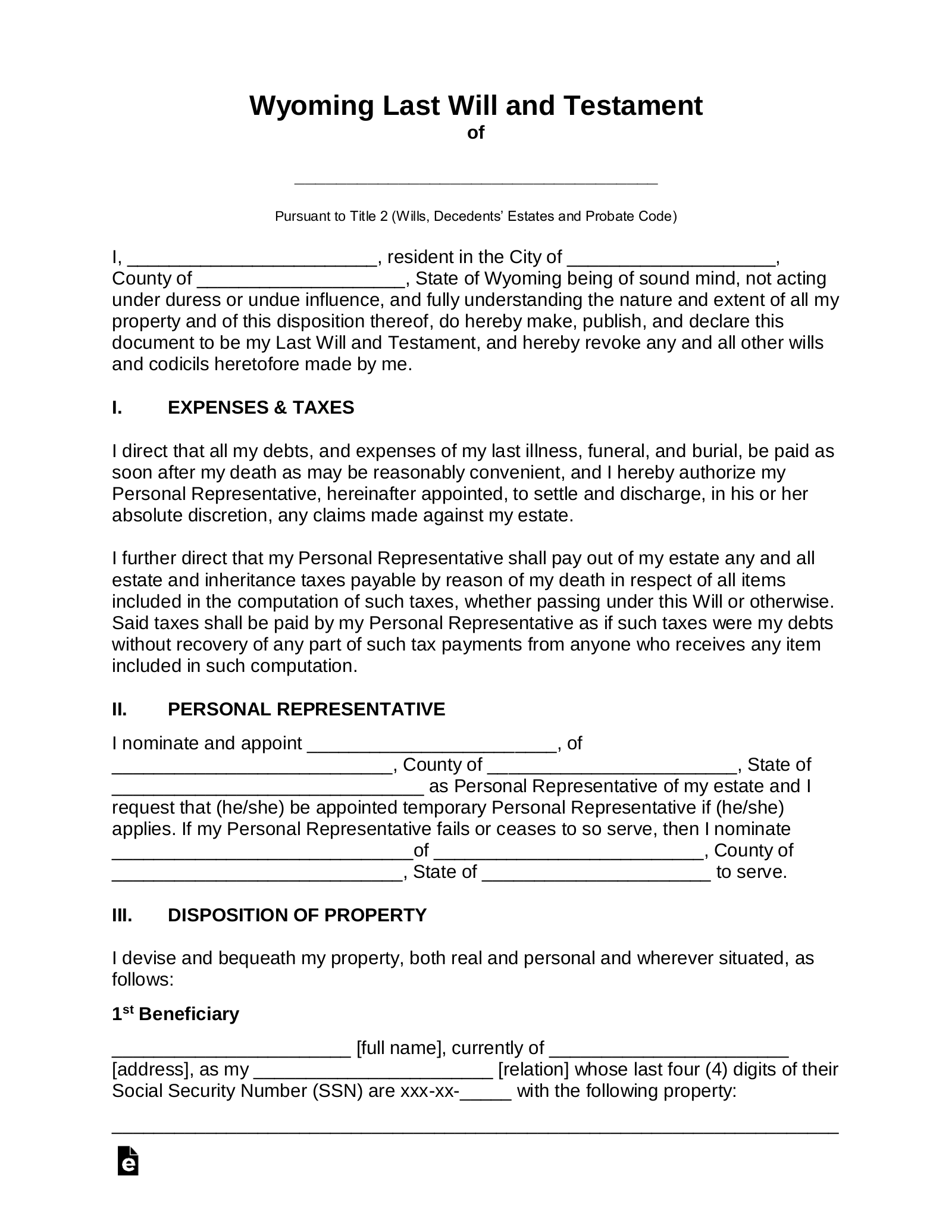
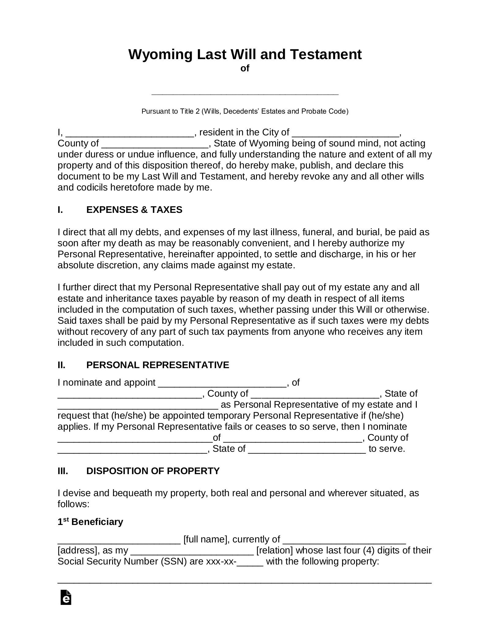
Printable Aarp Free Will Forms
Printable Aarp Free Will Forms
These forms typically include sections for you to name beneficiaries, designate guardians for minors, and specify how you want your assets to be distributed. By filling out these forms, you can have peace of mind knowing that your wishes will be honored.
It’s important to regularly review and update your will to reflect any changes in your life, such as marriage, divorce, or the birth of children. By keeping your will current, you can ensure that it accurately reflects your wishes.
Don’t wait until it’s too late to create a will. Take advantage of the Printable Aarp Free Will Forms available online and start planning for the future today. By taking this simple step, you can provide clarity and peace of mind for yourself and your loved ones.
Ensure that your final wishes are carried out by utilizing these free will forms from AARP. Download them today and take the first step towards securing your legacy.
Free Georgia Advance Directive Form Medical POA Living Will PDF
Free Illinois Living Will Form PDF
Free Wyoming Last Will And Testament Template PDF Word EForms



